El desafío de enviar paltas a China
Si bien China es un mercado extremadamente atractivo para nuestras paltas, existe conciencia en la industria nacional de que para sortear con éxito este desafío se debe trabajar en el conocimiento de las zonas de producción y su efecto en la maduración e incidencia de pudriciones durante la poscosecha.
Dr. Daniel Manríquez B., Director de Investigación y Desarrollo AgroFresh Latinoamérica; y Ph.D. Bruno Defilippi, Investigador a cargo de la Unidad de Poscosecha de Frutas y Hortalizas del INIA-La Platina.
Dar con la palta perfecta para un mercado determinado
implica llevar a cabo una serie de manejos.
Crédito: Daniel Manríquez.
Durante las últimas temporadas, China se ha convertido en uno de los destinos favoritos para varias especies frutales de origen chileno. En ese grupo se encuentran las paltas, que en la temporada 2016/2017 anotaron envíos por más de 12.500 toneladas a ese destino. Pese al crecimiento que ha experimentado este mercado, existe conciencia en el sector de que para seguir avanzando es necesario conocer más sobre el comportamiento de los consumidores de este fruto.
Para nosotros, como país exportador, el poder llegar a China con un producto de calidad y condición es un gran desafío, debido a que el tiempo de viaje total es largo por vía marítima. Además, debemos considerar que las paltas son frutos subtropicales, climatéricos y con una alta tasa respiratoria, lo que adiciona un par de desafíos extras en los manejos de poscosecha.
En ese contexto, es importante saber que en los frutos tropicales y subtropicales, el manejo de temperatura debe considerar su susceptibilidad a desarrollar daños de frío bajo un umbral. Por lo mismo, hay que tener claro que esta herramienta no es capaz de bajar lo suficiente el metabolismo de la fruta para asegurar que esta tenga una buena vida de poscosecha y, por ende, llegue en buenas condiciones a mercados distantes como Asia. En el caso de nuestras paltas, y dependiendo del contenido de materia seca y época de cosecha, tenemos la opción de trabajar con temperaturas cercanas a 4°C-5ºC. Como ocurre con otras especies climatéricas, la hormona vegetal etileno coordina una serie de procesos en la maduración y la senescencia del fruto, como la pérdida de firmeza y el cambio de color de la epidermis. Así, se constituye en un factor a considerar en la extensión de la vida de poscosecha.
Y como si fuera poco, además debemos considerar nuestras condiciones de producción y el efecto de los factores de precosecha en el comportamiento de poscosecha de los frutos, tema que ha sido abordado y discutido extensamente por el grupo de trabajo de INIA en Chile.
Para los que trabajamos en poscosecha, este es un mundo nuevo. De hecho, cada vez más tratamos de entender y correlacionar las condiciones de precosecha de cada una de las zonas de producción —donde encontramos huertos que van desde la cordillera al mar y que presentan condiciones de suelo y riego diversas, además de una heterogeneidad que normalmente se da en frutales con floración extendida— con el comportamiento que tendrá la fruta en poscosecha, con el fin de poder definir, sobre esta base, los distintos manejos que permitan llegar a destino con fruta en buenas condiciones.
Es por este motivo que la segregación aparece como la palabra clave para poder entregar un producto de calidad homogénea y consistente a los distintos mercados, incluidos China.
Las herramientas disponibles
Dentro de las herramientas de poscosecha que hoy disponemos, se encuentran el manejo de temperatura en la toda la cadena, desde cosecha hasta destino final; y las atmósferas controladas, bajas en O2 y ricas en CO2 (algunas de las combinaciones más usadas hoy son de 12% O2 + 8 % CO2), las cuales buscan reducir el metabolismo de la fruta y prolongar su vida de poscosecha. Además de estas, existen otras herramientas basadas en la remoción del etileno de ambiente (permanganato de potasio por ejemplo) o la inhibición de la síntesis o percepción de etileno. Entre los inhibidores de la percepción del etileno, el uso desde 1-metilciclopropeno (1-MCP) ha sido uno de los más difundidos en los frutales del mundo. En el caso de las paltas, ha sido utilizado a nivel comercial principalmente en Sudáfrica.
Pero, ¿cuál es el desafío que tenemos por delante? Considerando nuestras condiciones particulares, poder llegar a un mercado exigente con fruta de calidad y condición. O sea, estamos hablando de un gran desafío. Es por este motivo que hace unos años venimos desarrollando proyectos de investigación conjuntos entre la empresa privada y las instituciones públicas como el Instituto de Investigaciones Agropecuarias (INIA). Estos trabajos nos han permitido conocer de mejor forma cómo frutas provenientes de distintas zonas de producción, e incluso áreas o cuarteles dentro de un mismo huerto, pueden presentar comportamientos de poscosecha muy distintos. De hecho, en muchas de nuestras zonas de producción, como son los hurtos en cerros, la exposición de la ladera ha determinado un comportamiento muy distinto de los árboles y luego de la fruta en poscosecha, por lo que resulta urgente poder segregar las paltas, y sobre esta base determinar los mercados objetivos y los manejos de poscosecha que se usarán. En las figuras 1 A y 1 B se aprecia cómo frutos provenientes de dos huertos, pero también de distintos sectores de cada unos de los campos, muestran un comportamiento en poscosecha muy distinto en términos de producción de etileno y ablandamiento de pulpa en almacenamiento.
Luego de este proceso de segregación, es importante definir los manejos de poscosecha en relación al mercado objetivo, sus requerimientos y estado de madurez a la cosecha. Si bien el porcentaje de materia seca es el índice de cosecha que se utiliza en nuestra industria productora de paltas, este en muchos casos no tiene relación con el estado de madurez de la fruta. De hecho, este es un punto en el que estamos al debe, ya que para paltas no tenemos o no hemos podido definir un buen índice de madurez a la cosecha, especialmente uno que esté relacionado a una duración de la fruta en poscosecha. Y es que muchos de los índices usados para otras especies frutales climatéricos como son la firmeza de pulpa, los cambios de color y la producción de etileno, entre otros, no han sido validados para la palta.
En cuanto a la definición de los mercados y madurez a cosecha, es importante tener en cuenta los días totales de tránsito a cada uno de los destinos. En el caso de China, debemos considerar que desde cosecha a embalaje y consolidación de un contenedor pueden pasar entre 10 y 15 días. Si a esto le sumamos los 35 días o más que demora el tránsito por barco (35 días o más) y los cerca de 7 días que toma la recepción y distribución, tenemos que se debe considerar un periodo de entre 55 y 60 días, incluso para el mercado europeo. Esto para un fruto subtropical y climatérico como la palta es mucho, por lo que si no tomamos las medidas adecuadas de poscosecha, no es de extrañar que se produzca un cierto grado de deterioro en su calidad.
Es importante también saber que la calidad es percibida de distinta forma por cada uno de los actores de la cadena. Es así como para el recibidor y distribuidor de paltas de la variedad Hass, es muy importante tener un fruto con buena firmeza de pulpa (idealmente > 50 lbf) y un color de piel verde. Sin embargo, para el consumidor final lo ideal es comprar un fruto que haya comenzado con su proceso de maduración, es decir, presente una firmeza de pulpa menor, un viraje de color al negro típico de esta variedad y logre una madurez de consumo óptimo en casa luego de algunos días a temperatura ambiente. Así, lo que busca es una palta que tenga una pulpa verde sin pardeamientos ni pudriciones y que muestre todos sus atributos de sabor.
Los trabajos
Sin embargo, para periodos de tránsito tan largos como los que se nos presentan con China, esto es un gran desafío. Por lo mismo, desde hace unos años que venimos desarrollando investigaciones que hoy nos permiten definir de mejor forma los manejos para llegar con frutos de paltas Hass cosechados en un momento óptimo, en términos de materia seca y calidad organoléptica.
Una de las estrategias propuestas y que ha mostrado beneficios en la mantención de la calidad, es la combinación de distintas tecnologías de poscosecha, como son un buen manejo y mantención de la cadena de frío, además del uso de atmósfera controlada (AC) y un inhibidor de la percepción de etileno el 1-MCP (SmartFresh). Es importante recordar que actualmente en Chile el 100% de las paltas son exportadas sólo utilizando manejo de temperatura y AC en contenedores.
En cuanto a los estudios, estos fueron realizados con frutos provenientes de distintos huertos, los cuales presentaban una materia seca en torno al 28%, es decir, un contenido de aceite alto para las condiciones chilenas; y una alta tasa de maduración y homogeneidad.
Una vez cosechados, los frutos fueron enfriados a 5ºC, y posteriormente —dentro de los primeros 5 días siguientes a la cosecha— sometidos a la aplicación de SmartFresh y la generación de la condiciones de atmósfera controlada. En este caso, la combinación de gases utilizados fue de 12% de O2 y 8% de CO2, es decir, una mezcla bastante utilizada por la industria, sobre todo cuando hay largos periodos de tránsito. En el caso de SmartFresh, se utilizó la concentración normalmente recomendada por AgroFresh para paltas. Los tratamientos utilizados en el ensayo fueron: aire regular (AR), atmósfera controlada (AC), aire regular + SmartFresh (AR+SF) y atmósfera controlada + SF (AC+SF). Una vez establecidos los tratamientos, los frutos de cada uno de ellos fueron almacenados por distintos períodos de frío, simulando diferentes tránsitos (45, 55 y 65 días a 5ºC). Luego de cada uno de estos periodos, los frutos de cada uno de los tratamientos fueron colocados a 20ºC hasta alcanzar la madurez de consumo.
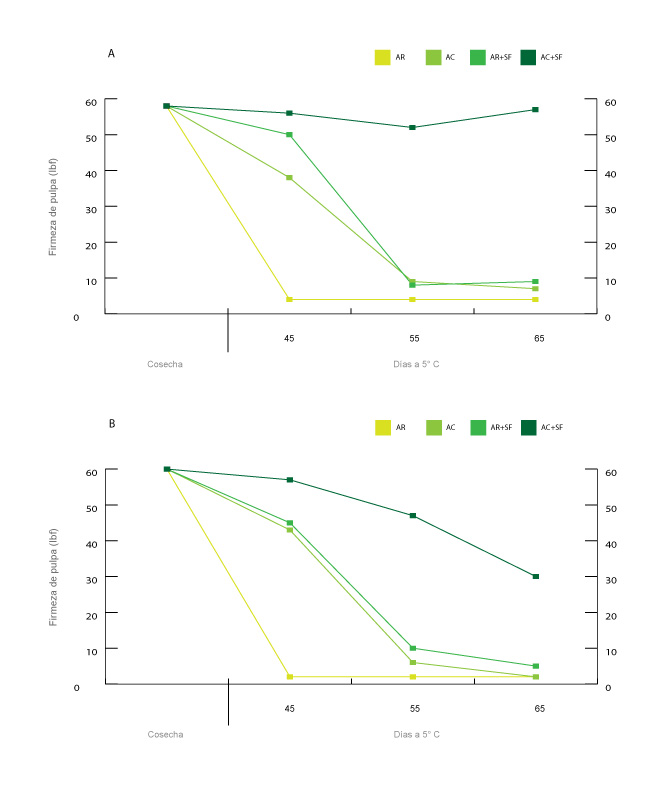
En la figura 2 A y 2 B se puede observar cómo los tratamientos afectaron la evolución de la firmeza de pulpa durante el almacenamiento refrigerado. De hecho, sólo con el tratamiento en que se combina atmósfera controlada y SmartFresh (AC + SF), los frutos fueron capaces de mantener una firmeza de pulpa aceptable. Si bien esta situación se dio en la fruta proveniente de ambos huertos, el efecto fue mucho más marcado en la perteneciente a uno de ellos, que mostró una maduración más acelerada.
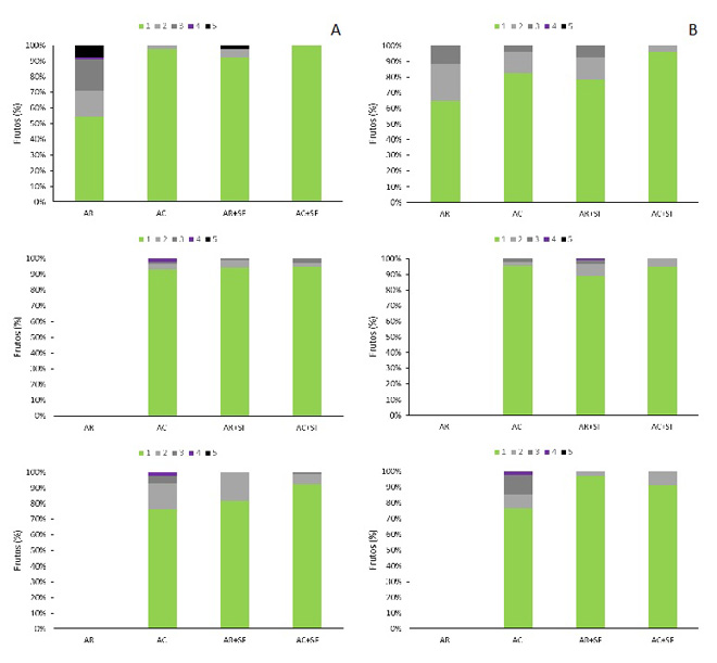
Una situación similar se observó en la mantención del color verde de la cáscara, donde nuevamente la combinación de ambas tecnologías de poscosecha fue la que logró mantener esta tonalidad en los frutos (figura 3 A y 3 B). Ambos atributos de calidad, como ya se mencionó, son muy importantes a nivel de recibidor y distribuidor, quienes desean tener frutos firmes y verdes para poder hacer una buena logística de venta y distribución en destino.
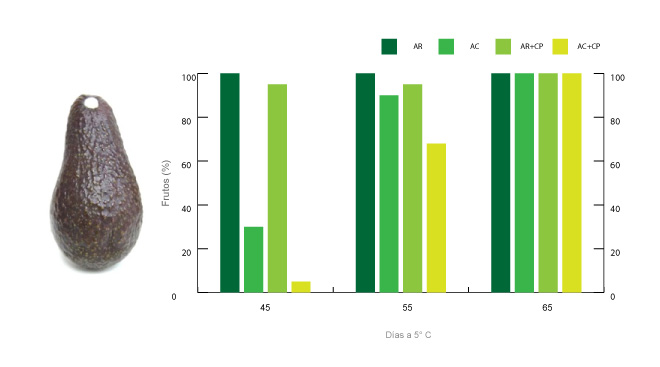
En cuanto al desarrollo de pudriciones, las muestras provenientes de los dos huertos mostraron altos índices de estas. Sin embargo, para el caso de moho peduncular, los frutos del tratamiento en que se combinó atmósfera controlada y SmartFresh (AC+SF) mostraron un nivel de incidencia menor (Figura 4). Una situación similar se observó para otros hongos causantes de pudriciones como “stemendrot” (pudrición peduncular) y “bodyrot” (antracnosis principalmente). Es posible que esta reducción en la incidencia de pudriciones más tenga que ver con las mejores condiciones de madurez que presentan los frutos —situación que también se observa en otras especies en las que se usa esta combinación, como manzanas—, que con un efecto fungicida o fungistático de estas tecnologías de poscosecha. Sin lugar a dudas, que el control de pudriciones es un tema que se debe analizar y buscar alternativas efectivas sobre todo para frutos provenientes de zonas de producción donde por condiciones climáticas y de producción los frutos pueden presentar un mayor nivel de incidencia de problemas fungosos.
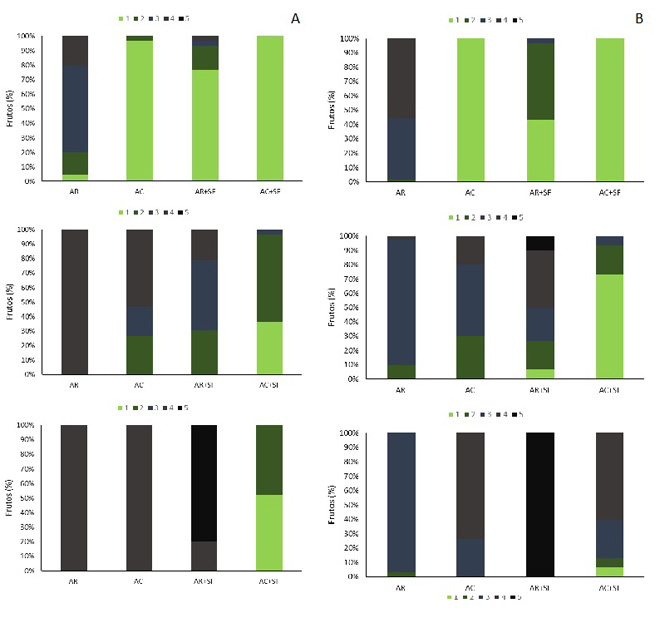
Respecto de la cantidad de días que tomaron los frutos sometidos a los distintos tratamientos para alcanzar la madurez de consumo, es importante señalar que los dos huertos evaluados presentaron un patrón similar. En el caso de los frutos sometidos a aire regular (AR), muchos de ellos salieron de almacenamiento refrigerado a madurez de consumo, sobre todo los expuestos a periodos largos. Por su parte, aquellos que recibieron atmósfera controlada o SmartFresh requirieron entre 1 y 6 días a 20ºC para alcanzar la madurez de consumo. En tanto que los frutos que recibieron tratamientos en el que se combinaron ambas tecnologías demoraron entre 6 y 10 días a 20ºC para lograr el índice de madurez adecuado para el consumo (Figura 5).
Los niveles de incidencia de pardeamiento interno, por su parte, fueron mucho menores en los frutos que recibieron el tratamiento con AC+SF. Esto se debe al impacto de ambas tecnologías en la reducción en madurez y senescencia. Y es que si bien este tipo de pardeamientos se pueden observar cuando hay daño por frío, en este caso la temperatura de almacenamiento usada (5ºC) no incidió en ello. En este caso, el desarrollo de desórdenes se debió, en gran medida, a la avanzada madurez (o senescencia) considerando los largos periodos de almacenamiento (Figura 6 A y 6 B).
Quizás una variable importante a considerar en la aplicación de esta combinatoria de tecnologías es la alta heterogeneidad existente en términos de materia seca al momento de cosecha para un huerto o lote de paltas determinado. Y es que en Chile el uso de la inhibición de la percepción de etileno por 1-MCP en paltas bajo 27% de materia seca, ha estado asociado a tiempos prolongados de maduración en términos de firmeza una vez finalizados los periodos de envío o guarda, sobre todo para mercados cercanos con tiempos de tránsito cortos. Por lo tanto, es muy importante considerar el porcentaje de materia seca a cosecha y homogeneidad de los lotes.
China es entonces un mercado extremadamente atractivo para nuestras frutas, incluidas las paltas. Sin embargo, el desafío para llegar con frutas de calidad y condición es grande. Por lo mismo, se hace extremadamente importante trabajar en el conocimiento de las zonas de producción y su efecto en la maduración e incidencia de pudriciones durante la poscosecha. Todo esto permitirá hacer una buena segregación de los frutos; y, por otro lado, usar combinaciones de tecnologías de poscosecha que ayuden a mantener la calidad y condición para largos periodos de tránsito.